728x90
반응형
문제 1. 건물의 도시가스 배관을 설계할 경우 관지름 산정방법에 대하여 설명하시오.
관지름 산정 방법
1) 유량 산정
- 세대수 x 세대별 가스소비량 x 동시사용률(피크 시 최대유량기준)
2) 압력 산정
- 정압기 공급압력(P1): 180 ~ 230mmAq
- 압력손실: 30 ~ 50mmAq
- 관말단 압력(P2): 단지내 최말단 동 1층 세대
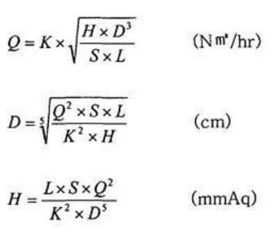
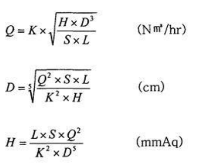
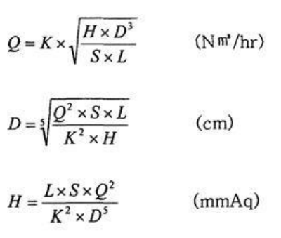
3) 관지름 산정(Pole식)

- D : 관경(mm)
- Q : 가스사용량(Nm3/hr)
- H :압력손실(mmAq)
- S : 가스비중(LNG : 0.65, 프로판 : 1.52, 부탄 : 2.0)
- L : 배관길이(m)
- K : pole 상수(0.75)
4) 관지름 산정 요령
- 저압가스 유량선도 사용 : 선도로 사용구간별 관지름을 구한 후, Pole 공식으로 압력손실을 계산하여 허용압력 손실과 비교하여 최종 관지름 산정
- 시행착오법 사용 : 허용압력 손실값을 각 구간별로 균등배분하고 Pole 공식으로 각 구간별 관지름을 산정
728x90
반응형